Source: -
Source: -
Source: -
Source: -
No about page exists.
What has changed?
The updated module provides clarifications on the description of assumptions and enables a more detailed performance analysis. It includes a methodology for asset-level return calculation in line with the INREV Asset Level Index. In addition, new guidelines for the calculation of gross of fee performance returns were added to assess the impact and complexity of fee models.
Effective date
The module is effective for reporting periods ending on or after 31 December 2022.
How do you comply?
The Performance Measurement module is a compliance module:

Read more at INREV Adoption and Compliance Framework.
The purpose of the Performance Measurement module of the INREV Guidelines is to provide support to investment managers when computing and reporting historic performance measures, both at a vehicle and asset level. These guidelines have been designed primarily for direct property vehicles.
The guidelines aim to increase consistency in the reporting of performance to investors. The standardisation involved will also improve the relevance of indices, such as the INREV Indices, which may potentially be used as points of reference. Comparing the performance of a vehicle and of assets can add insight into the overall vehicle performance. The point of reference should relate to vehicles with similar investment mandates, objectives, or strategies.
The Performance Measurement module includes concepts that are consistent with the Global Investment Performance Standards (GIPS) issued by the CFA Institute and the NCREIF PREA Reporting Standards. Although the frameworks are different, the intention is to align the approaches and avoid conflicts in the methodologies.
This module has been developed in light of existing practice in the European non-listed real estate industry. It includes a list of required and recommended performance measures. If an investment manager chooses to disclose the recommended performance measures, the related computation and disclosure requirements should be followed to claim compliance with this module. Performance metrics that are recommended may be disclosed on a voluntary basis. The non-disclosure of such metrics would not trigger non-compliance with the Performance Measurement module.
Investment managers should evaluate the level of compliance with the requirements included in the guidelines. A self-assessment should be performed periodically. The level of compliance and the annual score representing compliance effectiveness should be disclosed to investors in the annual report. This process is facilitated by using INREV’s self-assessment tool, the use of which is described in more detail in the Adoption and Compliance Framework of the INREV Guidelines.
Read more at INREV Adoption and Compliance Framework.
Performance measures and the level of disclosures may vary depending on the style of the vehicle. The level of discretion of an investment manager in determining the cash flows of a vehicle and investment restrictions vary significantly depending on the vehicle type. Some performance measures may not be appropriate for some vehicles. For instance, investment managers of closed end vehicles have discretion over capital calls and distributions, while investment managers of open end vehicles need to accommodate new issues and redemptions, which may interfere with the portfolio strategy. In this context, money-weighted returns are more relevant for closed end vehicles whereas time-weighted returns are more relevant for open end vehicles.
This module includes several new metrics as presented in the following summary table:

For more detailed information on the module updates please check the Revision and Change Procedure section.
Performance measures of a vehicle or an asset should fairly represent the performance of that vehicle or that asset. They should be reliable and consistently computed and presented, to enable investors to understand and compare the performance of the vehicle or the asset.
Performance measurement should reflect the performance of the vehicle in the context of its style, type, structure, and strategy.
Performance measurement of an asset should take into consideration the vehicle performance context.
Vehicle documentation should include the required performance measures disclosed by the investment manager and the frequency of disclosure to investors.
Investment managers should disclose the computed performance measures and methodology used. If the investment manager chooses to use a formula that is not in line with the proposed methodology set out in this module, this should be fully disclosed and explained.
Investment managers should disclose any significant assumptions used to compute the performance measures and their components. The use of the INREV NAV is encouraged. When the INREV NAV is not used and adjustments are made to the vehicle NAV, these should be properly disclosed.
Presentation of the vehicle and asset level performance should be accompanied by adequate disclosures. The purpose of such disclosures is to provide present and potential investors with a precise and complete picture of the vehicle’s historic performance, having due regard to applicable regulatory requirements, e.g. MiFID II, as appropriate to the vehicle.
Performance measures of a vehicle should be calculated at the same frequency as the published NAV valuation of the vehicle, with annual being the minimum frequency.
It is expected that the investments held by a vehicle are measured at fair value, whatever GAAP is used by the investment manager to determine the NAV of the vehicle.
Periods for which a vehicle does not perform valuations can still be used to provide a data point, as long as an NAV is determined. For instance, a vehicle may provide quarterly NAVs, but only annual property valuations. In interim periods the NAV would reflect all changes to the balance sheet while holding the value of the property portfolio constant.
Some measures required in the guidelines may be less relevant during the investment/ disinvestment period. However, investment managers are still required to provide the measures included in this module. Investment managers may provide comments alongside the measures to explain that they may be distorted since the vehicle is in its investment/ disinvestment period
Performance measures at the asset level should be calculated at the same frequency as the property valuation.
Vehicle level performance measures should be computed in the vehicle currency in order to reflect the true performance of the vehicle. Asset level performance measures should be computed on a currency-neutral basis. Nevertheless, the group of assets performance measures should be determined using the vehicle currency, either on a currency-neutral basis or taking into account the currency effect.
Time-weighted returns (TWR) are the preferred performance measures to use when an investment manager does not have control over the cash flows of the investment. This is typically seen in open end vehicles and non-discretionary single-client account portfolios. The Modified-Dietz Method is used to calculate TWRs throughout the financial industry.
In closed end vehicles, the investment manager has control over the drawdown of capital into the vehicle and the eventual distribution of capital and profits back to investors. Therefore, TWR may be less useful for presenting performance for such vehicles. In this context, TWR may be disclosed but it is not a required element for closed end vehicles.
A total vehicle level return on a time-weighted basis should be disclosed in the annual report. This measure should be provided for a one, three, five, and ten year period (where the track record exists) and since inception, on an annualised basis.
When a return for longer than or equal to one year is annualised, it is also allowed to account for the exact number of days.
Investment managers may also disclose a total vehicle level return gross of fees by using the above formulae computations and excluding fees, as appropriate.
A total vehicle level return net of fees is computed as follows:

TwdC = Time weighted (daily) contributions for the measurement period
TwdR = Time weighted (daily) redemptions for the measurement period
TwdD = Time weighted (daily) distributions for the measurement period
A total vehicle level return gross of fees is computed as follows:

TwdC = Time weighted (daily) contributions for the measurement period
TwdR = Time weighted (daily) redemptions for the measurement period
TwdD = Time weighted (daily) distributions for the measurement period
The fees to be considered are all the fees charged by the investment manager at all levels of the vehicle structure. See Fee and Expense Metrics module for the definition and description of fees typically charged to a vehicle.
When fees are charged on distributions, the investment manager should be careful at not double counting those fees into the return computation. When fees are amortised, the amortised portion should be taken into account in the vehicle return gross of fees.
See the Fee and Expense Metrics module for specific guidelines on fees and costs.
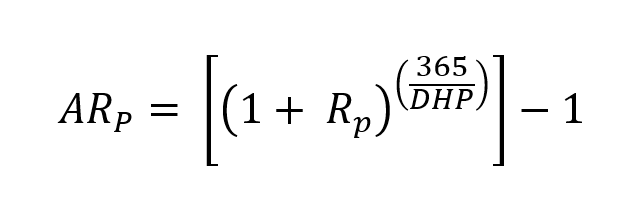
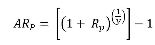
Annualisation is computed as follows:

where there is a return that is for longer than one year, but not a full year period (e.g., one year and two months)
For full years the formula is as follows:

ARp = Annualised return for the measurement period p
Rp = Return for the measurement period p (non-annualised)
DHP = Number of days in the measurement period
y = number of full year periods
A vehicle level income return should be disclosed. This measure should be provided for a one, three, five, and ten year period (where a track record exists) and since inception, on an annualised basis.
Net investment income is a measure of the net operational income of a vehicle, on an accrual basis, comprising the income and costs described below. It is intended to provide a measure of operating activity, exclusive of capital transactions or movements in the reported period, excluding valuation gains or losses on assets and liabilities, transaction costs, sale proceeds and taxes on capital profits and losses, and other replacement costs that can be capitalised if in accordance with GAAP. Rental income is recognised in accordance with accounting standards. Certain expenses may be based on the investment vehicle’s unrealised change in net asset value, including, for example, incentive management fees, and are recognised as a component of the unrealised gain or loss.
An income return is computed as follows:

TwdR = Time weighted (daily) redemptions for the measurement period
TwdD = Time weighted (daily) distributions for the measurement period
The main components of net investment income are:
Rental and other income from direct investments and indirect investments (being the net investment income equivalent of a vehicle’s interest/holding in another vehicle):
Vehicle costs:
Vehicle fees:
Property costs:
Taxation expenses:
A vehicle level capital return should be disclosed. This measure should be provided for a one, three, five, and ten year period (where a track record exists) and since inception, on an annualised basis.
When component returns (both net and gross of fees) are presented for any period, the sum of the income return and capital return will generally equal the total return. When component returns are geometrically linked to create cumulative returns, the simple addition of the cumulative income return plus the cumulative capital return will not usually equal the cumulative total return. The difference is acceptable and no adjustment is further required.
INREV’s method for dealing with this inconsistency is to calculate the returns as explained. The total return is correct and the income and capital returns are approximations.
The difference between the returns net and gross of fees do represent the time-weighted impact of fees on the returns of the vehicle.
A capital return is computed as follows:

A distributed income return should be disclosed.
Distributed income is defined as the amount of investment income derived from operations that is distributed to investors or credited to investors in the case of investment vehicle dividends or income reinvestment programs that are elected by the investor.
Distributed income does not include the return of capital or principal, the distribution of realised gains from asset sales (capital gains) or proceeds from financing activities. The objective is to present the actual cash distributions that are derived from customary and ongoing investment management operations without the distortions related to disposition and refinancing activities.
Distributions include dividends and interest paid during the period.
Distributed income return is computed as follows:

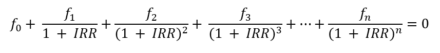
A vehicle level since inception Internal Rate of Return (SI-IRR) should be disclosed.
Inception IRR is the IRR of the vehicle after all vehicle-level fees, taxes and carried interest are deducted.
The SI-IRR represents the rate of return based on the present value of all of the appropriate cash inflows associated with an investment, with the sum of the present value of all the appropriate cash outflows accruing from it and the present value of the unrealised residual portfolio over the holding period.
SI-IRRs are commonly used to measure the performance of the investment (contrasted with TWRs, which are used to measure performance that can be indicative of investment manager performance). The SI- IRR is also known as the rate of return that results in a net present value of zero.
The SI-IRR formula discounts flows F1 through Fn back to F0 where: F0 is the original investment; and F1 through Fn are the net cash flows for each applicable period. If the entity has not yet been liquidated, the ending cash flow, Fn, will consist of the latest period’s operating cash flows plus an estimate of the net residual value.
SI-IRR at vehicle level net of fees, is computed as follows:

f0 … fn = cash flow for the period 0 through n (Negative values for inflows and positive values for outflows)
IRR = Internal Rate of return
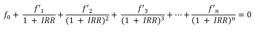
SI-IRR at vehicle level gross of fees, is computed as follows:

where f’ is cash flow before the deduction of all the fees charged by the investment manager at all levels of the vehicle structure as detailed in the Fee and Expense Metrics module. Typically, fees are added back similarly to distributions to investors, so f’ = f + MF.
In cases where the fee is added on a date other than that of the distribution, or in cases where the fee is paid from outside the account, the same formula can be applied, in which case f’ = f + FM. In the case of accrued fees, the accrual as of time period n should be added from the final net residual market value at f’n.
MF = Management fees (including performance fees)
Multiples
Multiples are shown as ratios, with one financial input in the numerator and another in the denominator, both of which are typically presented for the entire life of the investment rather than some discrete time period (month, quarter, etc.). Used in conjunction with time-weighted returns and IRRs, multiples provide greater transparency when analysing performance. The four commonly used multiples are presented below (PM09 - PM12).
A paid-in capital multiple or paid-in capital to committed capital multiple (PIC) should be disclosed.
This ratio gives information regarding how much of the total commitments have been drawn down. The paid-in capital is the cumulative drawdown amount, or the aggregate amount of committed capital actually transferred to a vehicle. Typically, a number such as 0.80 means that 80% of the vehicle’s capital commitments have been drawn from investors.
PIC is computed as follows:
PIC
CC
PIC (paid-in capital) = Cumulative capital contributed to the vehicle CC (committed capital)
Vehicle CC = Cumulative capital plus undrawn capital.
An investment multiple or total value to paid-in capital multiple (TVPI) should be disclosed.
The TVPI, total value to paid-in capital multiple, also known as the investment multiple, gives users information regarding the value of the investment relative to its cost basis, not taking into consideration the time invested. As an example, a multiple equal to 1.50 is typically read to mean that the investors have 1.50 units of value in the vehicle for every unit invested.
TVPI is computed as follows:
TV
PIC
TV (Total value) = Sum of residual vehicle net assets (NAV) plus aggregate vehicle distributions
PIC (Paid in capital) = cumulative capital contributed to the vehicle
Realisation multiple or cumulative distributions to paid-in capital multiple (DPI) should be disclosed.
DPI represents the amount of capital and income returned or repaid to investors, divided by a vehicle’s capital calls at the valuation date. DPI reflects the realised, cash- on-cash returns generated by its investments at the valuation date. It is most prominent once the vehicle starts exiting investments, particularly towards the end of its life.
As the vehicle matures, the DPI will typically increase. When the DPI is the equivalent of one, the vehicle has broken even. Consequently, a DPI of greater than one suggests the vehicle has generated profit to the investors.
DPI is computed as follows:
D
PIC
D = Distributions
PIC (paid-in capital) = cumulative capital contributed to the vehicle
Distributions retained in the vehicle and not paid to the investors are considered as realised.
An unrealised multiple or residual value to paid-in capital multiple (RVPI) should be disclosed.
This ratio provides a measure of how much of the return is unrealised. As the vehicle matures, the RVPI will increase to a peak and then decrease as the vehicle eventually liquidates to a residual fair value of zero. At that point, the entire return of the vehicle has been distributed. Residual value is defined as the remaining equity in the vehicle or asset.
An RVPI of 0.70 would indicate that an amount equal to 70% of the vehicle’s paid-in capital remains unrealised.
RVPI is computed as follows:
RV
PIC
RV (residual value) = Net asset value (NAV) of the vehicle
PIC (paid in capital) = cumulative capital contributed to the vehicle
The following items should be disclosed alongside the performance measures:
Disclosures may also include explanations for restrictions on cash flows, such as distributions that are restricted and affected by regulations.
Points of reference with the same vintage year or inception year should be disclosed if available and meaningful.
Given the limited universe of vehicles in several markets, it may not be appropriate to use available main- or sub-real estate vehicle indices as points of reference. An investment manager should take reasonable care not to apply points of reference where the investment manager or vehicle in question accounts for a significant share of the underlying universe. When no appropriate point of reference exists, this must be disclosed. Where there is a difference between the performance objective and the point of reference (such as the fund style as defined by INREV), the objective may be used as a primary reference point as long as clearly disclosed.
Where a composite and a point of reference are disclosed, they should be described.
Vehicles should disclose their vintage year.
Where a composite is presented, a composite description must be disclosed.
The time period and frequency of cash flows used in the calculation should be disclosed.
The following considerations and methodologies are to be used when determining performance measures:
Unitised basis versus NAV basis
In some countries, the performance of vehicles may be reported at a unit level. The Guidelines have been developed on the basis that performance has been determined on an aggregate NAV and cash flow basis.
Dates of cash flows
Dates used for performance calculations should be based on the dates of cash flows between investors and the vehicle as determined for accounting purposes. As a minimum, annual cash flows should be used, but it is now common to use higher frequencies such as quarterly, monthly or daily cash flows, especially for open end vehicles. For capital calls, the deadline of the capital call should be used.
Open end vehicles are subject to potentially constant in- and out-flows of capital. To accommodate for the large flows of capital, cash flows can be rolled up periodically, ideally on a monthly basis to the end of each month.
In the case of distributions for unitised vehicles, the declared date should be used. Closed end vehicles should apply the dates where cash flows are called or distributed to investors. The date should reflect the effective date for capital calls when the capital should be paid in and for distributions when the capital was paid out by the vehicle.
Fees
Performance measures are computed net of all fees and any materialised carried interest (or any other kind of performance fee) and forecasted future (provisions for) carried interest payments.
However, fees charged to investors as a result of the redemption of units or exit of the investors should not be considered when they are earned by the investment managers rather than the vehicle. Even though not required, performance measures may also be computed gross of management fees and carried interest payments.
When fees are charged to investors outside the vehicle, performance measures should include these fees as if the fees had been billed directly to/inside the vehicle.
Composites
To illustrate the combined performance of multiple vehicles, composite performance may be presented, combining the performance of each vehicle in a standardised way over time.
Investment managers may consult other industry performance guidelines such as GIPS for further guidance on composites.
Grouping criteria
The term ‘grouping’ is used to describe the process of aggregating/disaggregating two or more vehicles to evaluate performance using the time-weighted return.
To ensure fair representation of composite performance, vehicles included in the same composite must share one or more common attributes.
Composites should be defined by common attributes. A suggested hierarchy of grouping criteria is provided below:
For closed end vehicles, composite performance should preferably be defined by the combination of vintage year and one of the above-mentioned attributes.
Further considerations for multiple computations
Some vehicles have the ability to recycle capital during the investment period (to reinvest returned equity capital). For equity multiples calculation purposes, any distributions that are included as a return of equity or return on equity for the purpose of the calculation (‘nominator’) should, if reinvested (recycled), also be added to the amount of drawn capital (‘denominator’) to give a fair reflection of the true ratio of returned equity to investors. This should be the case whether the recycled equity is actually, distributed and recalled, or reinvested directly by the investment manager without physically distributing back to investors (to eliminate the back-and-forth flow of cash).
Asset level returns on a time-weighted basis reflect the performance of an operating asset or a group of assets. The asset level return relates strictly to asset operations and attempts to strip out all structure-related activity, usually including advisory fees, use of working capital and income and expenses. As such, asset level returns on a time-weighted basis reflect the appreciation and operating income that are generated by the asset.
Asset level returns should be reported on an unleveraged basis, as not all assets are leveraged and those that are, are leveraged within the vehicle structure, which makes the comparison of leveraged returns among different assets difficult.
A total return at an aggregate asset level may be disclosed.
The asset level, unleveraged return formulas are as follows:

TR = Asset total return
MV = Market value at the end of the period
D = Dispositions, net of disposal costs
A = Acquisitions, including acquisition costs
p = Period
k = Asset
Denominator (unleveraged):
When component returns are presented for any period, the sum of the income return and capital return will generally equal the total return. When component returns are geometrically linked to create cumulative returns, the simple addition of the cumulative income return plus the cumulative capital return will not usually equal the cumulative total return. The difference is acceptable, and no adjustment is required to any of the total return components.
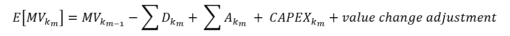
For the estimation of an asset’s monthly market values, the following approach is proposed:
INREV's proposal

Value change adjustment:

E [MVkm] = Estimated market value at the end of the month
MVkQ = Market value at the end of the quarter
D = Dispositions
A = Acquisitions
Q = Quarter
k = Asset
Acquisitions costs
The asset level return should reflect the investment manager experience and not that of the investor and therefore the acquisition costs should not be capitalised or amortised for asset level return computation purposes. The acquisition costs should be expensed.
Under the fair value model, acquisition expenses for an investment property are effectively charged to income when fair value is calculated at the first subsequent measurement date after acquisition. This results in the fair value of a property on subsequent fair value measurement being lower than the total purchase price of the property.
For INREV NAV calculation purposes, the capitalisation and the amortisation of the property acquisition cost over the first five years after the acquisition of the property should be used.
Saving on Stamp Duties
Should the positive effect of saving on Stamp Duties as a result of a share deal sale of a property be taken into account when calculating the performance of the asset?
When determining the market value of a property, the valuer should take into account any saving on Stamp Duties and the positive effect of these savings. The valuer should make the same allowance for transaction costs that a normal purchaser of the property would make in the market, regardless of the exit strategy.
Tax roll-up
The valuation should be done at the asset level (valuation of the building) regardless of the SPV. The roll-up of income taxation within the SPV should be captured at the vehicle level.
An income return at an aggregate asset level may be disclosed.

IR = Asset income return
MV = Market value at the end of the period
A = Acquisitions
p = Period
k = Asset
Net operating income numerator (unleveraged):
The net operating income (NOI) numerator is the net operating income (before interest expenses) that was reported by the asset during the period. Vehicle or investment level income and expenses should be excluded from NOI because the asset level returns focus on asset operations.
Estimation of asset’s monthly NOI and CAPEX
When CAPEX and NOI are collected over a quarter period, to estimate the monthly values, the following two options are possible.
1.Equally distribute quarterly NOI and CAPEX to the months based on the number of days an asset is owned during the month
2. Allow contributors provide monthly NOI and CAPEX for more precise performance calculation
A capital return at an aggregate asset level may be disclosed.

CR = Asset capital return
MV = Market value at the end of the period
D = Dispositions
A = Acquisitions
p = Period
k = Asset
Capital return numerator (unleveraged):
The appreciation numerator measures the change in asset value (increase or decrease) not caused by capital improvements or sales.
To help you with the transition towards the updated Performance Measurement guidelines, here are a few practical examples that may be useful.
When fees are amortised over a certain period of time in the NAV used for performance measure computation (e.g. acquisition fees amortised over five years in the INREV NAV, debt arrangement fees amortised over the duration of the loan in the INREV NAV), how should these be taken into account in the vehicle level returns gross of fees?
The management fees reversed in the formula presented in the module to compute the total vehicle level return gross of fees should be the amortised portion of these fees during the period under consideration.
When performance fees take the form of carried interest accrued during the period, are such incentives taken into account into the fees reversed during the period?
Yes. All fees impacting the income statement of a vehicle in accordance with IFRS should be taken into account in the total return computations (gross and net of fees).
What is the treatment of fee rebates when calculating performance measures?
Fee reductions, fee waivers, and transaction offsets recognised in the financial statements of the vehicle, should be included in the return computation and in the gross of fees performance measures.
Fee reductions, fee waivers, and transaction offsets not recognised in the financial statements of the vehicle are excluded from the performance measures and may be disclosed if permitted.
June 2022: The formula for total vehicle level return gross of fees under PM04 has been updated.
September 2022: The Net Investment Income components (Taxation expenses) under PM05 have been updated.
October 2023: The Net Investment Income description text under PM05 has been updated.
Performance Measurement
This Self-Assessment questionnaire allows to assess the level of compliance with the INREV Performance Measurement Guidelines which is established to provide support to managers when computing and reporting historic performance measures of a vehicle.
INREV Performance Measurement Guidleines includes detailed computation formulae as well as examples to facilitate implementation. These guidelines have primarily been designed for direct property vehicles.
The guidelines aim to increase consistency in the reporting of performance to investors. The standardisation will also improve the relevance of indices, such as the INREV Index, which are potentially used as points of reference. Comparing the performance of a vehicle can add additional insight into a vehicle’s performance. The point of reference should contain vehicles with similar investment mandates, objectives or strategies.
Please select the module(s) you would like to download